«World of Darkness»
Космология Умбры

Оригінальна публікація тут: https://wod.su/articles/umbra_opisanie
Эта статья рассматривает отдельные части того призрачного или духовного мира, что находится за пределами известного нам материального мира. В целом всё, что находится «по ту сторону» называется Умброй, но в самой Умбре существуют разннобразные зоны, области, сферы, отличающиеся друг от друга и от материального мира. Статья может служить полезным руководством для игроков по любым линейками Мира Тьмы, хотя, особенно она будет полезна для играющим по Магам, Оборотням и Призракам.

География Умбры (Geography of the Umbra)
Умбра, земля Духов, является обширным и разнообразным миром, где вера и метафора более важны, чем форма и сущность. Описать её полностью — невозможная задача. Что, впрочем, не останавливает различных мистиков от таких попыток. Имеются Сферы и Сферы Умбры, которые имеют общие характеристики, и они по крайней мере могут дать общее представление, хотя нет сколько-нибудь полного описания всей Умбры.
Путешественники через Умбру выдели много её форм. Гару и маги совершают регулярные поездки в эти земли, а духи, и призраки называют Умбру своим последним приютом. Ради простоты этот текст определяет Мир духов как мистический для всех исследователей.
Глубины Умбры (The Depths of the Umbra)

Большинство описаний Умбры сначала делится на Сферы, основанные на «близости» её различных частей к Земле или материальному миру. Полезна аналогия, изображающая структуру Умбры как Землю с атмосферой, ведущей глубже в космос.
На «самом близком» уровне, Вы имеете непосредственно Землю, материальный мир, где постоянно находится все то, с чем мы знакомы. Барьер (Gauntlet), также аллегорически называемый «Латной перчаткой» в надлежащем месте отделяет Землю от мира духов.
Затем снаружи лежит — Пенумбра (Penumbra — от англ. полусвет-полутень), которая во многом является подобием материального мира. Пенумбра — духовное отражение Земли, и географически очень похожа на материальный мир.
При перемещении выше, Вы достигаете Ближней Умбры (Near Umbra), соответствующей атмосфере Земли. Внутри Ближней Умбры располагаются различные духовные Сферы с проходами (Путями), связывающими их с Землей. Для тех, кто знает способ, Пути Ближней Умбры в этих Сферах могут быть пройдены относительно безопасно. На краю Ближней Умбры находится Горизонт (Horizon) — граница между «атмосферой» и «космосом». Эта граница отделяет непосредственно духовный мир Земли от того, что простирается по ту сторону.
С другой стороны Горизонта лежит Бездна (Deep Umbra — англ. глубокая тень), огромное и пустое пространство — «космос». Бездна кажется безграничной, и неприветлива ко многим Духовным существам из Ближней Умбры и Земли. Только наиболее закалённый путешественник по Умбре может надеяться пересечь Бездну и остаться в живых. В Бездне множество духовных Сфер, совершенно иной природы, чем Сферы Ближней Умбры. Некоторые из этих Сфер, кажется, содержат целые Миры, с их собственным Горизонтом, Ближней Умброй и отдельным материальным Миром существующим.
Схема 1. Аллегорическая перспектива глубин Умбры
| Земля | Грунт | Поверхность | Атмосфера | Край Космоса | Глубокий Космос |
| Земля | Барьер | Пенумбра | Ближня Умбра | Горизонт | Бездна |
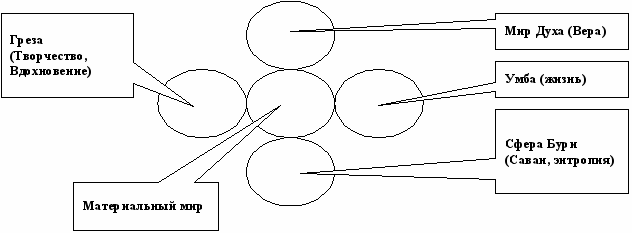
Три Мира Умбры (The Three Worlds of the Umbra)
В дополнение к приведённому выше делению Умбры, мистики также разделяют Умбру на три отдельных слоя или мира. Эти слои, называемые Высокой, Средней и Низкой Умброй (High, Middle and Low Umbra), растягиваются из Ближней Умбры и направлены за её пределы, вовне.
Каждый слой Умбры имеет собственные свойства. Трудно говорить являются различные слои Умбры разными областями, или это результат умозаключений и различных точек зрения со стороны путешественников по Умбре в зависимости от их менталитетов.
Высокая Умбра или Астрал (Astral Plane) — слой абстракций и идей. Тут мысли принимают материальную форму.
Середина или Живущая Умбра (Living Umbra)- более естественный слой, заполненный Первоматерией и Основными Энергиями.
Низкая Умбра или Нижний Мир (Underworld) — земля Мёртвых. Много человеческих призраков постоянно находятся в этом слое Ближней Умбры. Полагают, что в глубине Нижнего Мира мистик может найти прошлое человечества.
Знающие мистики сравнивают три слоя Умбры с Триадой из мифологии Гару, или с идеей Троицы из Стасиса, Хаоса, и Энтропии, поддерживаемой многими магами. В чем-то эта гипотеза близка к правде, и это была бы полезная аналогия, если бы не один нюанс. В каждом слое Умбры имеются и все элементы, и все три типа энергии.
Хотя различные слои простираются от Барьера и до Бездны, эти различия больше всего проявляются в Ближней Умбре. Пенумбра из Трёх Миров наиболее похожа, возможно идентична с Землёй, как в случае с Живущей Умброй и Астралом. В дополнение, в самой отдалённой Глубокой Умбре Три Мира могут фактически соединяться. Более того, сбивает с толку появление территорий и различных зон типа Стран Грез (Dream lands) что блуждают и вне и внутри всех Трёх Миров через различные глубины Умбры.
Схема 2. Базовая структура Трех Миров Умбры
| Физический мир | Барьер | Пенумбра | Ближний Астрал | Горизонт | Глубокий Астрал |
| Ближняя Живущая Умбра | Глубокая Живущая Умбра | ||||
| Страна Теней | Буря | Глубокая Буря |
Сфера (The Realm)

Прежде чем начать достойную дискуссию об Умбре, мистику необходимо рассмотреть мир материальный, а именно — Землю. Многие мистики полагают, что Земля является одной из многих Сфер Умбры, но большинство рассматривает Землю как первичное и наиболее важное. Часто материальный мир просто упоминается как Сфера, без дальнейших уточнений.
Материальный мир знаком большинству людей и поэтому необходимо только небольшое описание.
Сфера — место вещей, большинство которых Вы можете видеть и касаться, которые не эфемерны и не имеют духа в Умбре. Однако, Сфера не лишена духовной энергии. Это — центр, из которого остальная часть Умбры получает энергию.

В одно время Земля и Умбра были едины, и не было никакого различия между материей и духом. Современный человек в значительной степени слеп к духовной силе, однако, и мистик должен посетить Умбру, чтобы проникнуть в суть истины.
Периферия (The Periphery)

Хотя Сфера обычно отделена от мира духов, это не везде так. В некоторых местах и некоторых временах, мир духов может просачиваться, и частично сливаться с материальным миром. Такой путь называется Периферией, и является для мистиков большой находкой.
На Периферии мистик лучше познает духовный мир. Мир кажется более вибрирующим, и все кажется ожившим, так как частично проявляется духовная сторона всех вещей. Даже непосвящённые личности могут ощущать духовную мощь Периферии. Барьеры между Материальным и духовным мирами здесь самые проницаемые, и это может привести к случайному проникновению из одного мира в другой в некоторой степени, маги называют это Эффектом Отмели (Shallowing Effect).
Периферия существует в местах великой Силы, Узлах (также называемых Каэрны, Фригольды и т.п.) В этих местах мир духов чувствуется наиболее сильно, хотя внешнее выражение того слоя Умбры, который проникает в наш мир, может изменяться. Иными словами, Периферия может проявить себя лишь временно, из-за некоторой «утечки» духовной энергии. Некоторые считают, что Периферия — это не место, а скорее состояние души, настрой, который имеет каждый, когда оказывается на грани перемещения из мира материального в Умбру.
Барьер (The Gauntlet)
Барьер — не место, а граница. Это — барьер между Материальным миром и Умброй. В древнем прошлом его не было, но в современном времени он более плотный, чем когда-либо. Мистики боятся, что однажды он совершенно уплотнится, материальный и духовные миры будут полностью отделены друг от друга. Какие же силы «сгущают» границу? Гару считают, усиливает Барьер Ткачиха, а маги обвиняют в этом Технократию.
«Толщина» Барьера изменяется от места к месту, в зависимости от Духовной силы территории. Человеческие города имеют самый сильный Барьер и более удалены от Умбры. Естественно, в Узлах Барьер наиболее тонок. В таких местах проще попасть в мир духов. В местах наибольшей магической силы Барьер лишь имеет место быть, и не более того. В этих местах, простирается мир Периферии. Тут в Умбру можно вступить с лёгкостью, и даже не мистики иной раз делали это случайно или намеренно.
Пенумбра (The Penumbra)
С другой стороны Барьера находится Пенумбра — духовное отражение Земли и «самая близкая» часть Умбры к Материальному миру. Географически Пенумбра почти точно соответствует материальному миру. Места в Пенумбре непосредственно соответствуют Местам в материальном мире. Если мистик входит в Пенумбру, идёт через неё к другому месту и возвращается в материальный мир, он появится в месте, соответствующем месту, где он оставил Пенумбру. Основное расположение земли — то же самое, но подробности могут различаться.
Многие вещи в материальном мире имеют прямого духовного двойника в Пенумбре, но объекты, меняющие своё расположение — нет. Таким образом, здания, заводы и мебель будут иметь двойников, а автомобили, люди и животные не будут появляться в Пенумбре. Это не значит, что Пенумбра не населена. Пенумбра полна духами, но эти духи не соединены непосредственно с материальными индивидуумами.
Мистик может путешествовать по Пенумбре всеми средствами, доступными в Материальном мире. Он может открывать двери, ходить по улицам, залезть на дерево, и т.д. Так как в материальном мире есть солнце и луна, их свет виден в Пенумбре, как. и свет уличных фонарей Пенумбры. Материальные законы Пенумбры — почти такие же как на Земле, поэтому мистики встретят здесь относительно мало неожиданностей, за исключением духов, обитающих в Пенумбре..
Влияние на Материальный Мир (Echoes of the Physical World)

Одни считают, что Пенумбра — тень материального мира, а другие полагают, что материальный мир — просто тень Пенумбры Какой бы ни была истина, объекты в материальном мире и их двойники в Пенумбре соединены в некой метафизической форме. Любые изменения происходят сначала в материальном мире и отражаются в Пенумбре.
Большая часть неодушевлённых объектов материального мира имеют в Умбре «тень». Эта тень имеет приблизительно тот же самое внешний вид и расположение как материальный объект. Некоторый мистики считают, что тень — дух или душа материального объекта. Умбральные и материальные объекты не «склеены» вместе. Если мистик открывает умбральную дверь, её материальный двойник останется запертым. Если Вы переставите объекты в Умбре, их материальные двойники не станут немедленно двигаться.
Материальный и умбральный объекты стремятся к тому, чтобы оказаться в одном и том же самом состоянии,. Если умбральная дверь оставлена открытой, то более вероятно, что кто-то также забудет закрыть и материальную дверь. Если материальная дверь держится запертой, умбральная дверь в конечном итоге тоже окажется закрытой. Если кто-то берет объект в материальном мире, он будет стремиться поставить его туда, где расположен его умбральный двойник. Если этого не произойдёт, через какое-то время умбральный двойник, начнёт двигаться, чтобы соответствовать расположению материального двойника.
Это правило истинно и для внезапных драматических перемен. Если здание в материальном мире разрушено, на время его умбральный двойник останется на месте, однако, умбральное здание однажды будет заменено двойником новостройки, устроенной на этом месте. Если умбральное дерево срублено, материальное дерево первоначально невредимо. Но через некоторое время, материальное дерево вызовет отвращение и, вероятно, будет срублено.
Скорость, с которой происходят изменения с тенями в Умбре, зависит от Духовной силы этого изменения на земле. События с сильным эмоциональным фоном, типа автокатастрофы, сильного разрушения или магических действий, имеет тенденцию к немедленному изменению в Пенумбре. С другой стороны, если материальный объект большой духовной силы удалён, его умбральная тень может оставаться в течение некоторого времени. Если популярная церковь сокрушена и заменена на магазин, тень церкви в Пенумбре может сохраняться в течение десятилетий. Пенумбра может быть «отчётом» об участках духовных сил много позже после того, как они исчезли в материальном мире.
Иногда изменения в Умбре являются предвестниками изменений в материальном мире. Если собираются строить большой собор, он может появиться в Умбре прежде, чем будет построен на Земле. Это произойдёт в том случае, если для многих людей строительство данного собора будет очень важным. Мистик может использовать Пенумбру как барометр важных духовных событий в ближайшем будущем. Изменения в Умбре могут предупредить мистика относительно больших событий в материальном мире.
Восприятие в Пенумбре (Perception in the Penumbra)
Как сказано выше, неодушевлённые объекты и места имеют тени в Умбре. Внешний вид тени — приблизительно соответствует материальному объекту, но имеются различия. Умбральные объекты, будучи духовными по природе, имеют тенденцию отражать «истинную» природу объекта, показывая его эмоциональную и метафизическую сторону. Сильно любимый дом в Умбре будет казаться ярким и весёлым, даже если материальный двойник тёмный и ветхий. С другой стороны, умбральная скотобойня будет залита кровью и останками туш, даже если материальное здание содержится в безупречной чистоте.
Многие мистики находят, что объекты умбральной технологии и человека отражают силу, которую Гару называют Ткачихой. Они часто заполнены стеклянистой пряжей, которая походит на паутину, а внутри могут ползать маленькие насекомоподобные духи. В свою очередь, умбральная тень может быть более совершенна геометрически, чем ее материальный двойник, с точными кругами и безупречными гранями, и походящая скорее на образ, созданный машиной, чем на что-нибудь ещё. Воздух в умбральном городе часто сух и неподвижен, там редко дует ветер. Возникает ощущение статичности и замкнутости земли.
Наоборот, дикая местность в Умбре кажется более трепещущей и живой. Воздух богаче, чем это могло бы быть в материальном мире, и полон сочных запахов. Все пышет жизнью. Мир полон силуэтов и тонких теней и там — таинственная глубина и сущность всех вещей. Цвета кажутся более яркими, и мистик найдёт, что он может видеть далеко в незагрязнённом воздухе Умбры.
В то время как умбральные тени отражают внутреннюю природу объекта, убеждения и предвзятое мнение зрителя почти так же важно. Техномаг, например, будет иметь очень отличное от других видение объектов в Умбре. Вместо паутины, окутывающей технологические объекты, он может видеть моря пульсирующей энергии. Городской воздух скорее будет пахнуть озоном как только перед грозой, а не застоем. Дикая местность, с другой стороны, будет неприятно перенасыщена влажностью, запах воздуха — заплесневелый и грязный. Все будет полно ощущением угрозы и невидимой опасности среди теней.
Обратите внимание, что путешественники в Пенумбре не полностью привычные к изменению внешнего вида. могут обнаружить, что их лица в Пенумбре отражают их истинную природу или, возможно, их идеализированные представления о себе. Внешний вид может даже измениться, в зависимости от настроения мистика. Опытные путешественники знают этот эффект и, обычно, могут держать свою внешность «под контролем», особенно, если они желают скрыть некоторые свои стороны.
Три Мира в Пенумбре (The Three Worlds in the Penumbra)
В Пенумбре трудно сделать различие между Высокой и Средней Умброй. Обе кажутся частью того же самого «скачка из» пункта. Мистик направляющийся к Астрал или в Живущую Умбру, как кажется, проходит через то же самое материальное отражение Земли, заполненное теми же самыми духами.
Однако, это не совсем так. Высокая и Средняя Умбры имеют некоторое различие в Пенумбре, но они обычно перцептивны. Мистик, направляющийся в Астрал, видит умственные или интеллектуальные аспекты отражённого объекта, в то время как мистик, стремящийся к Живущей Умбре, наблюдает фундаментальные естественные стороны объекта.
Нижняя Умбра, Мир Мёртвых, тем не менее, сильно отличается даже в Пенумбре. Страны мёртвых полностью отделены от остальной Умбры в самых ранних стадиях. Пенумбра сильно отличающаяся от всего остального, имеет собственное имя — Земля Теней (Shadowlands).
Земля Теней (The Shadowlands)
Земля Теней — часть Нижнего Мира, наиболее близкая к миру материальному. Она похожа, но полностью отделена от Пенумбры. Призраки в Земле Теней неспособны видеть духов из Пенумбры, и наоборот. Не имеется никакого простого способа двигаться из Земли Мертвых к остальной части Умбры.
Земля Теней связана с Землёй барьером, известным как Саван, подобному Барьеру между Пенумброй и Землёй. В отличие от обычного Барьера, Саван самый проницаемый в местах и временах, которых касается смерть. Кладбища и Ночь — проницаемые точки в Саване, в то время как в местах, где жизнь полностью цветёт, Саван более толстый. Когда Саван уплотняется, проникнуть через него более трудно, чем через Барьер.
Все в материальном мире, неодушевлённое или нет, имеет призрачное отражение в Земле Теней. Эти отражения двигаются сходно с их материальными аналогами. Таким образом, здания, люди, автомобили и все другие вещи в материальном мире видимы призрачным взглядом. Тени — призрачны, но призраки не могут взаимодействовать с ними непосредственно. Тени могут быть достаточно опасны. Если тень материального объекта быстро или резко проходит через призрак, это может вызвать небольшой разрыв призрачной субстанции.
Внешний вид призрачных отражений материальных объектов всегда помечен признаками смерти. Дерево кажется гнилым, металл — ржавым, люди — бледными и болезненными. Иногда люди, которые особенно полны жизнью, излучают своеобразное сияние через Мир Теней и выглядят нормально, но они — скорее исключение, чем правило.
Иногда объекты, подвергшиеся особенно сильным разрушениям или магическому воздействию, можно перетянуть через Саван. Тень этих объектов приобретает полную призрачную субстанцию, и будет реальной для других призрачных объектов. Духи могут касаться таких объектов и друг друга. Обычно эти призрачные объекты — редкие вещи и люди. Земля Теней, таким образом, все время окружена множеством иллюзорных образов из живущего мира.
Некоторые мистики имеют свой взгляд на Землю Теней. Они утверждают, что Земля Теней — не место вообще. Призраки постоянно находятся в нашем мире. Это — привидения, которые иллюзорны по отношению ко всему, за исключением друг друга. Образы материальных объектов искажены призрачными глазами. Обе гипотезы дают объяснение ряду фактов, и это действительно вопрос точки зрения.
Домены (Domains)
Иногда какая-нибудь область имеет такой сильный духовный «колорит», что обретает характеристики, отличающиеся от остальной части Пенумбры. Эти участки называются Доменами, среди которых имеются много различных типов. Обычно Домены отражают некоторую большую мистическую силу, имеющуюся как в мире материальном, так и в соответствующей ему Пенумбре; силу достаточно сильную к изменению природы обоих территорий.
Гару считают, что Домены существуют под влиянием одной из сил их Триады. Эти участки в первую очередь взаимодействуют с каким-нибудь одним типом духовной энергии. Домены привлекают духов соответствующего типа, и соответствующее место в материальном мире будет затронуто Стасисом, Энтропией или Хаосом
Домены в большинстве видимы мистикам, настроенным на жизнь Астрала. Возможно это происходит потому, что Домены, скорее, отражают естественную энергию места, а не интеллектуальные стороны. Но есть домены, отражающиеся на Астрал. Такие места привязаны к некоторым сильным концепциям или идеям, которые прорастают в близлежащем Материальном мире. Важная церковь может создать Домен, посвящённый Божественному в Пенумбре, в то время как кабинет большого математика может быть окружён странной сферой абстрактных символов и идей.
Земля Теней также имеет Домены. Эти участки обычно накопили большое количество призрачных объектов, привидений притянутых через Мир Теней. Они зовутся Цитаделями Мёртвых, где те собираются во времена бедствий.
Многие мистики посвящают немало времени и энергии очистке Доменов от того, что, по их мнению, является злой энергией. Это — не простая задача. Чтобы очистить Домен, мистик должен изменить оба мира — духовный и материальный. Не достаточно изменить только один план, Эффект Эха будет тянуть другую сторону обратно к первоначальному состоянию. Очистка Доменов часто усложнена присутствием призраков и духов местной энергии, которые будут бороться и защищать своё энергетическое первоначало.
Места Силы (Sites of Power)
Как упомянуто выше, имеются некие участки силы, места, где Барьер особенно тонок, эти места отражены как на Земле, так и в Умбре. Они имеют много названий, Каэрны, Узлы, Часто Посещаемые Места, Фригольды и т.п., но все это — Места Силы. Эти участки, если не защищены специальными средствами, легко видимы из Пенумбры.
Места Силы обычно связываются со специфическим видом энергии, через явление, известное как Магический Резонанс (Resonance by mages). Близлежащая Пенумбра отразит природу Места Силы, и мистики перехватывают силу легче, если они используют это методом, «созвучным» с разновидностью Места Силы. Место Силы часто наиболее полезно для одного вида сверхъестественных созданий, но большинство мистиков ищут магию везде, где только могут. Ведь печально известны маги, пользующиеся для прорыва куда-либо мистическими силами.
Ибо эти Места Силы настолько важны, что редко бывают невостребованными или незадействованными. Обитатели Места Силы обычно делают все, чтобы скрыть его от любопытных взглядов и притязаний. Гару используют Обряд Окутанной Долины реки, чтобы скрыть свои Каэрны, Маги скрупулёзно ткут вокруг Узлов сложные магические завесы. Феи окутывают свои самые большие Фригольды завесами пленительных чар, в то время как Призраки и Духи охраняют свой дом, используя все могущество, которым владеют.
Многие защитные покровы направлены на то, чтобы замаскировать Места Силы в Пенумбре. Для этого имеется ряд способов. Некоторые защиты просто делают так, чтобы странник пошёл в другое место, обойдя вокруг Место Силы. Волшебные тропинки, водящие странника по кругу внутри непроходимого лабиринта — один из известных примеров подобной защиты.
Другой метод защиты — создать «пузырь» над зоною с «Ложной Пенумброй» над ним. Все способы замен настоящей Пенумбры на ложную базируются на том, что в ложной «Пенумбре» не будет признаков Места Силы. Странники будут бродить в Пенумбре «над» Местом Силы без осознания того, что находится у них «внизу» под ногами. Только тот, кто знает, как проложена истинная тропа, сможет проникнуть в пространство, окружающее Место Силы.
Некоторые из наиболее проницаемых Мест Силы защищены доступностью Силы для тех, кому она нужна. Ведь проницаемое Место Силы привлекает внимание сверхествественных Созданий, которые настроены именно на этот специфический вид энергии. Иной мистик отклонит Место Силы, как слишком проницаемое, чтобы быть использованным, так как более проницаемые Места Силы часто посещают призраки. Фригольды, оставленные эльфами, относятся к этой же категории.
Ближняя Умбра (Near Umbra)
Путешественник по Умбре может все время блуждать по Пенумбре, но большинство мистиков, в конечном счёте, решается на путешествие в более разнообразный мир Ближней Умбры. Сферы в Ближней Умбре не имеют никакой прямой связи с каким-либо местом Земли, и география там не имеет значения. Фактически, земные понятия времени и места в Ближней Умбре не имеют смысла, и путешествие через эту Сферу может действительно сбить с толку.
Попасть в Ближнюю Умбру — задача не тривиальная. В Пенумбре имеются места на шаг глубже погруженные в духовный мир. Этих Путей много, но большинство мистиков знают только некоторые их них. Необходимо знать, как найти умбральные Пути, и неосведомленный путешественник может идти правильно, не понимая этого.
Обычно эти Пути связаны с редким специфическим видом духовных Энергий. Начало таких Путей можно найти в местах, проявляющих этот вид Силы. Мистик может ступить на Путь, сосредотачиваясь на Силе тропы, а не на энергии Пенумбры. Во время движения от прежнего местоположения, он будет видеть исчезновение Пенумбры вдалеке, а себя обнаружит на умбральном Пути. Несколько умбральные Пути имеют такую силу, что легко видимы в Пенумбре, являясь вратами в Другой мир.
В Ближней Умбре расстояние почти не имеет значения. Путешественник должен следовать по Пути, который он выбрал, и идти туда, куда он ведёт. Путешествие может оказаться длинным или коротким, причина, увеличивающая или уменьшающая время путешествия не известна. К счастью, окружающая среда Ближней Умбры не враждебна, и путешественник находится в относительной безопасности, если не столкнётся с некоторыми из потенциально враждебных духов, следующих тем же Путем.
Для большинства Ближняя Умбра — место, через которое путешествуют. По Ближней Умбре рассеяны различные умбральные Сферы.
Эти Сферы подобно самостоятельным мирам, отделены от Ближней Умбры тонким Барьером. Сферы Ближней Умбры, часто называемые Ближними Сферами (Near Realms), обычно как-то связаны с Землей. Они сильно отличаются по размеру и природе, и могут быть весьма причудливыми, но путешественник с Земли обычно может вести себя соответственно данному миру и данному времени.
В Ближней Умбре, различие между Тремя Мирами — Самое сильное. Типы Путей, которые ведут через Высокую, Среднюю и Низкую Умбры очень отличаются. Все зависит от того, какие силы и знания привели на данный путь.
Ближняя Живущая Умбра (The Near Living Umbra)
Ближняя Живущая Умбра — Сфера пересечений ряда Путей. Гару наиболее знакомы с Лунными Путями, сформированными не из твёрдого вещества, а из лунного света. Эти Пути более ярки, тверды и безопасны когда Луна в полной фазе, но в это время по ним путешествуют Лунные Духи, которые могут быть и дружелюбными и не очень. Когда луна в ущербе, Пути становятся тонкими, тёмными и по ним трудно идти, в это время путешественник рискует потеряться.
Перекрёстки Ближней Умбры — модель паутины, проявление Ткачихи. Некоторые мистики полагают, что эта паутина — основа действительности, держащая все сущее. Осторожный путешественник может по ней достигнуть Берега — как цели путешествия. Ткачиха бдительно охраняет свою паутину, её духи патрулирует паутину. Кроме того, имеются такие места, где паутина липкая, и можно попасться.
Хотят слухи, что Змей имеет туннели через или «под» Живущей Умброй, тёмные Пути для своих миньонов. Считается, что они выглядят как грубо прогрызенные, со следами зубов и местами залиты лужами ядовитой слизи. Если эти туннели существуют, то, должно быть, по ним очень опасно ходить.
Кроме Лунных Путей и структур Ткачихи и Змея, основной способ для путешествий по Ближней Живущей Умбре состоит в том, чтобы найти духа, в некотором виде проводника. Многие духи имеют естественную способность, называемую Airt Sense, которая позволяет им чувствовать истинное направление к любому месту в Умбре. Они могут путешествовать от главных Путей непосредственно к месту назначения.
Иногда, мистики могут найти Тракты Духов (Spirit Tracks), по которым часто путешествуют множество духов. Мистик может следовать за ними к любому месту назначения,в которое направлялись духи. Некоторое мистики во время путешествия разыскивают Духа — жителя определённой Сферы в надежде на то, что это будет шаг к такому Тракту Духов.
Также через Ближнюю Живущую Умбру ведут бесчисленные второстепенные Пути. Некоторые из этих Путей соединяют определённые Близкие Сферы. Иные из них создаются какой-нибудь группой духов или кем-то подобным. Часть этих второстепенных Путей скрыты, их очень трудно отыскать.
Вне Путей Близкая Живущая Умбра — болото бесформенного тумана. Это Туман может меняться по характеру: иногда это — плотный туман, в другое время подобен облакам. Иногда он исчезает полностью, и путешественник будет видеть ночное небо с облаками во всех направлениях. Без руководства мистик бесцельно движется через Живущую Умбру, пока он не натыкается на один из Путей, ведущий к какой-нибудь Ближней Сфере или обратно в Пенумбру.
Ближний Астрал (Near Astral Plane )
Примечание Автора: Эта глава построена на гипотезах. Если вам не понравится данный материал, можно моделировать путешествие в Астрал похожим на путешествие в Живущей Умбре.
Высокая Умбра или Астрал — сфера идей. Она тоже пронизана паутиной Путей. Подобно Живущей Умбре, в Астрале есть основные Пути и второстепенные, Тракты Духов, и духи-проводники.
«Пути» Астрала — не просто куда-то ведут. Астральные Пути концептуальны по природе. Мистик, «путешествуя» по Астралу, изменяет его ментальные Сферы. Изменение их ментального состояния создаёт пейзаж вокруг них. Мистический поиск верного ментального состояния позволяет «прибывать» в любую искомую умбральную Сферу.
Многие неопытные путешественники по Астралу были введены в заблуждение кажущейся простотой этого метода путешествия, и неустойчивое представление сбивало их с пути. Перемещаясь слишком быстро, путешественник по Астралу может сбиться с устойчивых представлений и потеряться в «негде».
Опытный астральный путешественник будет двигаться медленно и осторожно, тщательно создавая необходимые концептуальные части искомого целого. Мистик сосредоточится на развитии основного аспекта искомого образа; делая все точно, он создаст твёрдую связь с ним перед работой со следующим аспектом. Этот метод может занять часы, дни или даже недели тщательных медитаций, но путешествовать он будет безопасно и уверено.
Имеются несколько распознанных Дорог или способов перемещения через Астрал. Первая — Дорога Формы (Path of Form) или Низкая Дорога (Low Path), следовать которой проще всего. Мистик просто создаёт визуальное изображение искомой Сферы и перемещается к ней этим способом. Эта Дорога проста для понимания, но мистик должен уже многое знать о месте, в которое идёт ещё до того, как он попытается достигнуть этого места. Даже малые визуальные детали, не учтённые мистиком, могут переместить его в неправильное место.
Средняя Дорога (Middle Path) — Дорога Сердца (Heart Path), или Дорога Чувства (Path of Emotion). Этой Дорогой наиболее часто идут маги из традиций Толкователей грёз или Вербены и оборотни из племени Звездочётов. Путешественники на Дороге Сердца пробуют настроиться на нужное эмоциональное состояние или расположение духа, чтобы достигнуть определённого места назначения. Они стремятся, чтобы их ментальное состояние духа воплощало природу искомой Сферы. Есть мнение, что мистик будет притянут, словно силой гравитации, к искомой Сфере. Однако, мистик должен поддерживать нужное ментальное состояние духа до тех пор, пока он не достигнет искомой Сферы.
Высокая Дорога (High Path) – Дорога Идеалов (Path of Ideals). Эта Дорога наиболее гибка, но также и наиболее трудна для понимания. Скорее это не непосредственно зрительный поиск, а создание мистических установок для того, чтобы найти некие символические концепции, связанные с искомой Сферой. Например, во время поиска Сферы Холода мистик мог бы разыскивать Лед или Север, или символы, связанный с этими концепциями — типа структуры решётки льда или дорожных знаков, указывающих на север. Маги ордена Герметиков визуализируют некоторые тайные символы, связанные с их значением. Мистик совершенствует свой набор символов, пока тот точно не представит искомую Сферу, в которую мистик прибудет. Эта Дорога наиболее полезна для исследования Астрала, так как объединяет различные символические формы, позволяющие достигнуть новых Сфер.
Некоторые мистики полагают, что любая придуманная Сфера может быть найдена в Астрале при затрате достаточного времени. Даже если это так, то это совсем не просто. Некоторые большие Астральные Сферы имеют своего рода «гравитационное» поле притяжения. Как только ментальное состояние мистика приближается к такой большой Сфере, даже в момент движения, он оказывается притянутым к этой Сфере, и только жесточайшая концентрация поможет мистику двигаться в нужном ему направлении. Это притяжение, однако, может быть полезно, поскольку мистик может желать лишь добраться в направлении определённой точки близкой нужному ему месту назначения. Но потом, конечно, необходимо мыслить в том направлении, которое в итоге приведёт путешественника в нужную Сферу.
В дополнение, частые путешествия к определённым Сферам нарезают Борозды (Furrows) или тропы в Астрале. Мистик, чей ментальный конструкт пересекается с одной из таких Борозд, может обнаружить свой ход мысли, увязшим в Колее. Разумеется, путешественник будет оттянут по ментальной Дороге этой специфической Борозды, пока не достигнет Сферы в её конце. Необходимо очень много ментальной энергии, чтобы сделать «прыжок» из такой Борозды на изначальную Дорогу. С другой стороны, Борозды могут быть очень полезны, если мистик найдёт такую, которая ведёт к нужной Сфере, поскольку Борозды делают задачу концентрации намного проще.
Помимо этого, имеются многочисленные второстепенные Дороги через Астрал. Второстепенная Астральная Дорога состоит из ряда ментальных Сфер, через которые нужно следовать для достижения определённой Сферы. Мистики создают каталоги Сфер, придумывают модели для использования в будущем путешествии. Опытный мистик может достигать искомой Сферы, представив задуманную последовательность символов, представлений и эмоций данной второстепенной Дороги.
За пределами проторённых Дорог Астрал — бесформенная белая пустота, незаполненная последовательностями символов. Мистик может двигаться в течение длительного времени через это белое «бездорожье», приходящее иногда сквозь блуждающие мыслеформы, исчезающие так же внезапно, как они и появились. После достаточно долгого поиска мистик, в итоге, вернётся к одной из известных Дорог, Сфер или в Пенумбру.
Имея представление о сложности путешествия по Астралу, многие мистики приобретает проводника — духа или что-то иное. При путешествии в группах, наиболее опытный путешественник ведёт остальных. Лидер концентрируется на необходимой ментальной Дороге, в то время как остальная группа сохраняет расслабленность разума. Идущие следом за лидером обнаружат, что они втянуты в ментальное состояние лидера, и не нужно делать никаких усилий, чтобы путешествовать. Члены группы, попытавшиеся сконцентрироваться на цели, могут обнаружить, что незначительные изменения в их ментальной модели будут тянуть их в отличных от основного направлениях.
Некоторые путешественники, особенно маги Технократии, находят Концептуальный метод путешествия по Астралу глупым, неестественным и отталкивающим. Эти путешественники часто строят некие Астральные Сосуды (Astral Vessels) для того, чтобы достигнуть глубин Высокой Умбры. Этот Астральный Сосуд имеет «душу» компьютерного железа, к которому обращаются за всеми необходимыми для путешествия концепциями. Пилотам этого Сосуда необходимо только ввести в него координаты, и Астральный Сосуд будет двигаться к нужной Сфере. Звёздные Сосуды при их механистическом типе мышления создают особенно глубокие Борозды, и их скоростные путешествия вызывают сильные потрясения в Астрале. Прочие мистики приходят в ужас от того, насколько Астральные Сосуды оскверняют покой Астрала.
Ближняя Буря (The Near Tempest)
Из Трех Миров Ближней Умбры самый нижний мир — наиболее суровый. Он зовётся Бурей. Буря это — холодная и дикая Сфера, раскидывающая злополучных гостей в различных направлениях. Неопытный путешественник не управляет перемещениями в Буре и не выбирает направление путешествия. Он может только надеяться, что убийственные штормы этой Сферы в конечном счёте выбросят его на некую стабильную «твердь»; иные же никогда не найдут спасения.
Большая часть Бури состоит из обширного шторма. Иногда это просто угроза ливня, находящегося на Горизонте. В другое время шторм внезапно налетает со всей яростью. Этот шторм бушует, меняя множество тоскливых ландшафтов. Иногда Буря — тёмное мрачное море, бесплодная пустыня, непроходимое болото, плотный, страшный лес или заброшенная пустошь.
Ландшафты сменяют друг друга практически бессистемно, и они постоянно смешиваются, непрерывно проникая друг в друга
Только опытный путешественник может перемещаться по Буре. Есть призраки, владеющие искусством Аргоса, известные как Буревестники, умеющие тонко манипулировать структурами Бури и находящие способы идти сквозь мрак. Большинство путешественников стараются положиться на Буревестника или духа проводника. Легендарных Перевозчиков через Бурю обычно ищут позже, так как эти вернейшие и самые надёжные проводники берут иной раз весьма высокую цену.
Имеется несколько Путей, известных как Тихие Дороги (Byways), которые мёртвые построили через Бурю. Тихие Дороги — твёрдые дороги через шторм и по ним может идти кто угодно. Большинство Тихих Дорог идёт из одной определённой Сферы Бури к другой, и они часто патрулируются теми, кто заинтересован в них. Многие Тихие Дороги ведут к Стигии (Stygia), огромному городу мёртвых и столицу Железного Королевства, Империи мёртвых католиков. Буря разрушает Тихие Дороги, и они требуют постоянного ремонта. Говорят, что только у мёртвых душ есть достаточно плазмы, способной к длительному сопротивлению штормам, и этот материал используют для строительства в Нижнем Мире.
Один из устойчивых Путей через Бурю — река Стикс (Styx). Говорят, Стикс мистически соединяется с каждым потоком и рекой в мире живых. Стикс — это относительно безопасный и стабильный путь через большую часть Бури. У мёртвых имеются небольшие общины на берегах Стикса, и их торговцы курсируют по реке. В устье Стикса находится город Стигия, и её солдаты патрулирует более реку ниже по течению в поисках незваных гостей и врагов.
Близкие умбральные Сферы (The Near Umbral Realms)

В то время как некоторые мистики любят исследовать непосредственно обычные участки Ближней Умбры, большинство исследователей стремится к одной из умбральных Сфер, находящихся в Ближней Умбре. Каждая умбральная Сфера — отдельный духовный Мир. Сферы сильно отличаются по размеру, формам и характеру.
По большей части мистики должны пересечь Ближнюю Умбру: Высокую, Среднюю или Нижнюю, чтобы достигнуть различных умбральных Сфер. Однако, имеется несколько прямых проходов. Эти проходы называются Вратами Духа (Spirit Gates), или Порталами (Portals), и они могут непосредственно соединять две умбральные Сферы, Умбральную Сферу и Пенумбру, или даже, что бывает очень редко, умбральную Сферу и мир материальный. Обычно эти Порталы создавались с определённой целью. Зачастую они скрыты, и почти всегда охраняются.
Каждая умбральная Сфера отделяется от остальной части Умбры барьером, похожим на границу межу Умброй и материальным миром. Этот барьер называется Кожурой (Pericarp). Толщина Кожуры различна для каждой Сферы. Иногда она столь тонка, что лишь только обозначена, а иногда она столь толста, что почти непроницаема. Толщина, также, может зависеть от способа, которым идёт мистик. Некоторые Сферы очень легко войти, но сложно их покинуть.
Умбральные Сферы Ближней Умбры часто называются Ближними Сферами. Они каким-то образом тесно связаны с Землей. Они могут быть опасными и непонятными, и весьма странными, но они никогда не несут мгновенную смерть мистическим путешественникам с Земли. Обычно они — отражение или материализация каких то земных идей или концепций, что не является верным для Сфер, которые находятся глубже в Умбре, такие Сферы могут оказаться чужды всему земному.
Полное описание каждой Сферы в Умбре невозможно. Они бесконечны. Некоторые из наиболее известных Сфер описаны ниже.
Близкие Сферы Живущей Умбры (The Near Realms of the Living Umbra)
Гару исследовали Живущую Умбру лучше, чем прочие мистики с Земли, и они описали тринадцать главных Сфер в Ближней Умбре. Некоторые из этих Сфер настолько специфичны, что они почти недоступны не Гару. Эребус (Erebus) — ад Гару, который может очистить их души от греха, в то время как в Легендарной Сфере (Legendary Realm) происходят события древних легенд и находится родина различных племен Гару. Волчье Логово (Wolfhome) — зеркало материального мира, в котором Гару вынуждены оставаться в форме волка, пока они лучше не поймут свою сущность.
Некоторые из Тринадцати Сфер соединены с силами Ткачихи, Змея или Буяна. Водоворот (The Flux) — Сфера вечно меняющейся мощной энергии Буяна, В это же время Киберсфера (Cyberrealm) — продвинутое технологическое проявление энергии Ткачихи. Шрам (Scar) — проявление оскверняющей энергии Змея, в то время как Сфера Жестокости (Atrocity Realm) и Поле битвы (Battleground) — проявления зла, которое люди причиняют как персонально, так и на войне.
Некоторые из Тринадцати Сфер не попадают в эту классификацию. Врата Аркадии (Arcadia Gateway), возможно, длинный забытый «черный ход» из Ближней Умбры в Аркадию (Arcadia). Пангея (Pangaea) — отражение исконной Земли, в дочеловеческую эпоху. Неземная Сфера (Aetherial Realm) находится на границе Ближней Умбры, в ней находятся олицетворения всех Небесных Тел и Якоря (Anchorheads) в Бездну. Говорят, что Летняя Страна (Summer Country) — отражение покоя и красоты мира до того, как были разделены мир материальный и мир духовный, но эту Сферу столь трудно найти, что многие считают её мифом.
Ближние Астральные Сферы (The Near Astral Realms)
Маги — умбральные путешественники, наиболее знакомые с Астралом. Они определяют несколько важных типов Астральных Сфер.
Наиболее знакомые Сферы маги создавали сами. Например, Сфера Горизонта (Horizon Realm): маги «высекают» такие сферы из первоосновы Астрала как безопасное убежище для творения магии. Для поддержки Сферы Горизонта требуется много энергии, и маги нуждаются в Силе одного или более Узлов, только для того, чтобы Сфера существовала. Природа Сферы Горизонта ограничена только энергией и предпочтениями магов, создавших её. Сферы Горизонта тщательно скрыты и защищены, и часто доступны только через Врата Духа.
Большинство Астральных Сфер — различные Сферы Идей (Concept Realms), или Эпифы (Epiphs), каждая из них — отражение некоторой идеи, возникшей на Земле. Некоторые отражают Небеса и Ад в представлении людей, хотя истинное посмертие, возможно, находится в мирах, лежащих ниже. Другие отражают абстрактные математические идеи. Каждая Сфера воплощает отдельную идею, и медитация в такой Сфере помогает сделать шаг к более глубокому пониманию данной концепции.
Также важны девять Теневых Сфер (Shade Realms), каждая связана с одной из различных сфер магии. Теневые Сферы отражают природу этих сфер, и населены духами, которые являются силами данной сферы.
Местонахождение этих Сфер, дающих огромную силу, хранится в секрете
Известно, что Теневая Сфера Сил (Shade Realm of Forces) охраняется могущественной крепостью Дуассете (Doissetep), в то время как Теневая Сфера Энтропии (Shade Realm of Entropy) хранится Домом Хелекар (Helekar), прежним Орденом Эвтанатос. Считается, что Теневая Сфера Материи (Shade Realm of Matter) охраняется Автохтонией (Autocthonia) — миром Технократии (Technocratic). Некоторые Виртуальные Адепты (Virtual Adepts) утверждают, что Теневая Сфера Связей является Цифровой Сетью, в то время, как некоторые Толкователи Грёз считают, что вся Умбра — Теневая Сфера Духа (Shade Realm of Spirit). Также считается, что все Теневые Сферы — всего лишь отражения более мощных Отколовшихся Сфер — истинного дома каждой магической сферы, которые находятся в Бездне.
Ближние Сферы Бури (The Near Realms of the Tempest)
Сферы Бури обманчивы, и только первичная энергия души имеет силу противостоять мощи шторма. Могущественный город Стигия — наиболее известная Сфера в Буре, и также наиболее частый пункт назначения для путешественников. Имеется также несколько Остановок (Waystations) за стигийскими Тихими Дорогами, безопасные убежища, где путешественники могут немного отдохнуть.
Также существует ряд второстепенных Сфер или Движущихся Зон (Shifting Zones) в Буре, на которые может наткнуться неосторожный путешественник. В некоторых из них, Тени давно умерших вновь воспроизводят какое-то ужасное событие из своего прошлого. Другие — это ловушки злобных Спектров (Spectres), поджидающих добычу, чтобы утащить её в Забвение (Oblivion). Большинство таких Сфер малы и эфемерны; они не очень-то безопасны в Буре.
Дальше всех других Сфер Бури находятся Далёкие Берега (Far Shores). На Далёких Берегах располагаются многочисленные посмертия умерших, веривших в некое высшее предназначение души, и другие умершие, искусно пойманные жадными духами. В прошлом Далёкие Берега посылали своих эмиссаров в Стигию и в Землю Теней, но теперь враждебность Железного Королевства прекратила это. Никто не знает точно, что происходит в Далеких Сферах, но изобилуют слухи о войнах духов и странных ангельских или демонических духах.
Горизонт (The Horizon)

На дальнем крае Ближней Умбры находится Горизонт, также называемый Мембраной (Membrane). Подобно Барьеру, эта граница отделяет непосредственный духовный мир Земли от большего количества чуждых Сфер Бездны. Горизонт труден для проникновения, и это замечательно. Бездна — смертельное место, и неопытный путешественник не выживет, попав туда. Существуют Силы за Горизонтом, слишком могущественные или опасные, чтобы они могли находиться в Ближней Умбре, и Горизонт перекрывает им доступ.
Единственные простые Пути через Горизонт — различные проницаемые точки в Мембране, называемые Якорями (Anchorheads). Подобно Узлам и Каэрнам, они — Места Силы, и, как правило, под чьим-то контролем. Якоря контролируются сильными духами чаще, чем сверхъестественными существами Земли, хотя могут быть исключения. Если мистик получит разрешение Опекунов Якоря, он сможет через эти порталы проскользнуть в Бездну.
В последние десятилетия некоторые мистики заявляют, что они стали свидетелями пугающего феномена. Они говорят, что Горизонт сжимается, смещается внутрь, и все больше Ближней Умбры соскальзывает наружу. Это явление более всего заметно в Астрале, некоторые говорят, что в меньшей степени это происходит также и в Средней Умбре. Одна за другой, Ближние Сферы вытягиваются через Горизонт наружу в Бездну. Некоторые из крупнейших Сфер переживают перемещение, а другие разрушаются.
Точная причина сжатия неизвестна. Это может быть вызвано теми же самыми силами, которые вызывают затвердевание Барьера. Некоторые маги полагают, что это — результаты деятельности Технократии, отталкивающие духовный мир все дальше от Земли. Другие говорят, что это — работа мощно злого духа из Бездны, который надеется пробить грань и проникнуть в Сферу Гайи (Gaian Realm). Многие мистики насмехаются над самой идеей, говоря что положение Горизонта также неизменно, как и прочность Барьера. Если сжатие действительно происходит, то это может быть одним из признаков грядущего Апокалипсиса.
Бездна (The Deep Umbra)
За Горизонтом находится Бездна. Многие мистики сравнивают Бездну с глубинами космоса, и эта аналогия весьма точна. Окружающая среда Бездны очень опасна, и только наиболее сильные мистики или путешественники, обзаведясь каким-нибудь защитным транспортным средством, могут надеяться на относительную безопасность и возможность выжить.
Необъятность Бездны потрясает воображение. В отличие от Ближней Умбры, никакие Пути не пересекают эти глубины. Отважный мистик, побывавший в пустоте, подтвердит, что путешественник может навсегда затеряться в Бездне, в ее бесконечной тьме. Заблудившийся же в Ближней Умбре мистик рано или поздно натолкнётся на тот или иной Путь. За пределами Горизонта потерянный путешественник потерян навсегда.
В Бездне границы между Тремя Мирами постепенно исчезают. Путешественники по Высокой, Средней или Нижней Умбре могут обнаружить себя в более высоком или нижнем мире, и их возвращение назад может оказаться полным неожиданностей.
Далёкие Сферы (The Far Realms)
Умбральные Сферы, находящиеся в Бездне, в отличие от Ближних Сфер не имеют никакого отношения к Земле и могут оказаться полностью непостижимыми по своей природе. Мистик при входе в эти Сферы может обнаружить свои дух и тело мгновенно разрушенными, если он не владеет большой силой.
Некоторые Далёкие Сферы огромны. Возможно, что некоторые этих Сфер окружают самостоятельные миры, с их собственным Горизонтом, Ближней Умброй, Ближними Сферами и Барьером. Некоторые мистики считают, что можно достигнуть таких миров, но в это не особо верится. Многие пытались добраться до иных миров, но не известно, чтобы хоть кто-нибудь возвращался.
Маги полагают, что Отколовшиеся Сферы, истинное проявление каждой из Девяти Магических Сфер, находятся где-нибудь во вне. Некоторые маги верят, что каждая Отколовшаяся Сфера связана с определённой планетой в Солнечной Системе, но сих пор не договорились, какая планета соответствует какой из этих Сфер. Отколовшиеся Сферы, как считают, настолько чужды, что только Оракулы могут войти в них безопасно. Гару говорят про Небесные Сферы (Celestial Realms), связанные с различными небесными телами, которые, возможно, и есть Отколовшиеся Сферы.
Гару верят, что первичные проявления Ткачихи, Змея и Буяна находятся где-то в Бездне. Центр Паутины Ткачихи (Weaver’s Web), Вихрь Буяна (Vortex of the Wyld) и Темная Сфера Злобы Змея (Wyrm’s dark Realm of Malfeas) скрыты где-нибудь в этой пустоте. Эти Далёкие Сферы имеют «усики», достигающие Сферы Гайи (Gaian Realm). Гару боятся, что Зло имеет заставы в Ближней Умбре, дающие миньонам Змея более простой доступ в Сферу Гайи.
Как считают, Большие Умбральные Дворы (Umbral Courts) духов также находятся в пустоте Бездны. Всего их три или четыре. Западный Двор (Western Court) дал начало мифам о богах западного мира, в то время как Восточный Двор (Eastern Court) породил своих азиатских двойников. Таинственные Египтяне вышли как из Запада, так и с Востока, идя своим собственным путём.
Толкователи Грёз (Dreamspeakers), которые верят в Небесного привратника, суд, приводящий к перерождению душ в мире, находятся в вассальной зависимости от более сильных Восточного и Западного Дворов.
Истинные Небеса и Истинный Ад, если они существуют, находиться в Бездне. Их точная природа — тайна, даже для магов из Божественного Хора (Celestial Chorus). Некоторые считают, что они — отражение Добра и Зла во всех земных религиях, в то время как другие говорят, что они вне человеческой концепции.
Маги иногда попадаются в уникальные Сферы Парадокса (Paradox Realms). Хотя никто в этом полностью не уверен, считается, что эти Сферы Парадокса находятся в Бездне. Никто, находясь когда-либо в такой Сфере, не был способен избежать негативного влияния Парадокса. Маги, что бежали из Сфер Парадокса, немедленно возвратились на Землю, в то время как магов, не сумевших спастись оттуда, больше никогда не видели.
Ходят слухи об других чужеродных Сферах. Чуждые измерения, где время и пространство, существуют в совершенно ином состоянии и по иным материальным законам, отличным от наших. Многочисленные Сферы, заселённые отвратительными существами, не то чтобы злыми, но совершенно другими во всем. На Земле такого просто никогда не могло появиться. Отдельные умбральные путешественники, Нефанди (Nephandi) и Мародеры (Marauders) в частности, считают, что можно путешествовать и по таким Сферам. При трезвой оценке можно понять, что ценой этому может оказаться здравый рассудок мистика.
Глубокая Буря (The Deep Tempest)
Одна из тайн строения Умбры это внешние уровни Бури. Дело в том, что исследователи Бури никогда не находили эквивалент Горизонта в своих путешествиях. Также, никто действительно не знает, что находится снаружи. Некоторые мистики полагают, что никто никогда не попадал достаточно далеко, чтобы найти Всемирный Горизонт внизу, но другие рассматривают более мрачную возможность.
Возможно, Мир Мёртвых вообще не имеет никакого Горизонта. Далёкие Берега могут фактически находиться на краю или в глубине того, чем являются глубины Нижнего Мира Бездны. А так как предполагается, что Три Мира объединяются снаружи в Бездне, это — весьма пугающая возможность. Мир Мертвых в таком случае может быть «люком» в Сферу Гайи (так Гару называют нашу Сферу от материального мира до Горизонта), через который ужасы из Бездны могут проникать в материальный мир. Если это правда, то великое счастье, что Саван менее проницаем, чем Барьер.
Зоны (The Zones)
Некоторые умбральные Сферы не попадают под вышеприведенную классификацию. Эти Сферы, называемые Зонами (Zones), представляются проходящими сквозь всю Умбру от материального мира до Бездны всеми Тремя Мирами. Некоторый мистики полагают, что эти Зоны — такие же умбральные Сферы, но с необычно большим количеством порталов, соединяющих их к различными местами. Другие верят, что Зоны специфичные и в чем-то превосходящие обычные границы. Некоторые мистики полагают, что Зоны — фактически отличные слои Умбры, очень похожие на Три Мира.
При условии, что Зоны проникают через всю Умбру, некоторые мистики пробуют использовать их, чтобы срезать путь от одного места в другое. Это не как просто, как звучит. Хотя большинство зон соединяется во многих местах, эти связи не всегда очевидны. Мистик редко контролирует то, где он войдёт или где оставит Зону. Часто сознание мистика попадает в Зону в тот момент, когда он лишь планировал это. Это — особенно верно при попадании мистика в Землю Грез (Land of Dreams) или Цифровую Сеть (Digital Web). Мистик должен вернуться в тело, когда он покидает Зону.

Одна из наиболее известных Зон — Цифровая Сеть, идеализированная виртуальная реальность, сформированная, как и культура киберпанка, скорее из духовной, чем цифровой энергии. Будучи местом развлечения Виртуальных Адептов, верящих, что это относительно новая Сфера, Цифровая Сеть во многом все ещё «неоформлена» и ждёт тех, кто определит её природу. Цифровая Сеть завязана на наиболее мощные компьютеры в материальном мире, на модель Паутины Ткачихи, Киберсферу, Автохтонию и различные Сферы идей в Астрале.
Другая известная Зона — Сфера Грез. Возможно, что по этой Зоне мы путешествуем во сне каждую ночь. Законы Мира Грез странны и непостижимы; все кажется возможным. Обычный спящий может входить в эту Зону и покидать её без вреда для себя, но попытка мистика осознать свой путь через Страны Мечты чревата большим риском. Могучие жители этого мира не находят приятным вмешательство в их дела.
Неосторожный мистик в момент путешествия между мирами может случайно пойти через Зону Зеркала. Большинство мистиков знает про эту опасность, возникающую при пересечении Барьера, но фактически это может случиться при пересечении любой умбральной границы. Весьма схожая с нашей действительностью, Зона Зеркала — Сфера с серьёзными отличиями. Друзья могут стать врагами, политические силы сместятся, вся действительность может отличаться множеством тончайших пугающих аспектов. Некоторый мистики говорят, что Зоны Зеркала являются отражениями несостоявшихся вероятностей или реальностей, которые могли бы быть. Возвращение из этой альтернативной Сферы может оказаться серьёзной проблемой.
О последней известной Зоне ходят только слухи, но если она существует, она могла бы оказаться очень полезной. Это Нулевая Зона (Null Zone), её описывают, как обширную сеть одинаковых серых туннелей. Нулевая Зона даёт безопасный проход жителям Земли к различным местам несмотря на то, что находится снаружи. В отличие от других Зон, хорошо осведомлённый мистик может точно контролировать, где он входит и выходит и, таким образом, может путешествовать. Факт трудности входа в Нулевую Зону и выхода из неё, делает её последним путём, к которому стоит обращаться.
Сверхъестественное и Умбра (Supernaturals and The Umbra)
Различные сверхъестественные создания взаимодействуют с Умброй по-своему. Каждая разновидность имеет специфическую связь с Умброй. Были выведены некоторые закономерности но, подобно всем стереотипам, они верны лишь до определённой степени. Умбра — место отдельных личностей, и каждый, в конечном счёте, приближается к Умбре своим собственным способом.
Вампиры имеют меньше всего дел с духовным миром. Многие из их не осознают его существование. Те же вампиры, которые взаимодействуют с духовными мирами, тяготеют к ограниченной и определённой форме. Один Вампир может созвать призраков, другой — вызвать духов животных. Дисциплина Прорицание (Auspex) даёт вампиру ограниченное восприятие духовного мира. Она лишь позволяет вампиру видеть существ Умбры, которые активно ищут, видят или влияют на материальный мир. Такие духи находится достаточно «близко» к Барьеру, и вампир может чувствовать их.
Гару (Garou) (и другие племена Меняющих Форму (Changing Breeds) возможно лучшие путешественники духа. Некоторые мистики полагают, что Гару — духи, обретшие плоть. Все Гару, конечно, умеют перемещаться по миру духов, и большинство вервольфов полагает, что их обязанность — защита Умбры от нападений Змея. Гару, разумеется, предпочитают Среднюю Умбру, и больше времени проводят именно а ней. Многие из них не осознают существование Верхних или Нижних Миров, но некоторые могут ходить и по этим Путям.
Маги имеют большое количество Орденов и Традиций, Большинство из них знают о существовании Умбры, но не все могут по ней путешествовать. Они тяготеют к тому, чтобы завладеть могучими духовными силами. Маги наиболее гибки, взаимодействуя с Умброй, и известны как создатели своих собственных духовных Сфер. Большинство магов склонны к Астралу, но в то же время маги мелочны и назойливы. Они стремятся вторгнутся в Среднюю и Нижнюю Умбры, и многие заплатили за свою самоуверенность жизнями.
У Призраков небольшой выбор, они имеют дело только с той Умброй, в которой они постоянно находятся. Призраки существует исключительно в Нижнем Мире, хотя большинство было бы счастливо его оставить. Фактически, призракам очень трудно влиять на материальный мир, так как они пойманы внутри Мира Мёртвых. Немногие призраки знают о существовании Средней и Высокой Умбры, но среди них существуют слухи о секретных Путях между мирами.
Взаимодействие между Подменышами (Changelings) и Умброй наиболее таинственно. Феи имеют и материальную и духовную сторону, их Смертное Мнимое (Mortal Seeming) и их Кровь Феери (Faerie Kith). Из-за их врождённой духовной стороны, феи могут иногда взаимодействовать с духовным миром. Но, так как их дух привязан к смертному телу, им трудно к оставить материальный мир.
Феи имеют специальную связь с одним типом духов, называемых Химерами (Chimera), всегда их чувствуют и взаимодействуют с ними, как будто те материальны, хотя Химера невидима и к тому же невещественна. Феи могут также иногда видеть других духов, используя их для чего-то, чуждого Химерам. Иногда они забывают о существовании духов. Волшебное оружие поражает через духовные границы, и способно нанести вред созданиям с другой стороны Барьера или Савана. Обстоятельства влияния Фей на духов может меняться в зависимости от места и времени. Но, кажется, что сами Феи не обращают внимания на эти изменения.
